Complete the Arrays as objects exercises before reviewing the solutions.
Review the Arrays as objects exercise 3 solution with AP CS Tutor Brandon Horn.
Original code
public static void main(String[] args)
{
Coordinate2D[] coors = new Coordinate2D[3];
coors[0] = new Coordinate2D(1, 1);
coors[1] = new Coordinate2D(2, 2);
coors[2] = new Coordinate2D(3, 3);
System.out.println(Arrays.toString(coors));
// prints: [(1, 1), (2, 2), (3, 3)]
mystery3(coors);
System.out.println(Arrays.toString(coors));
}
public static void mystery3(Coordinate2D[] coorsInside)
{
coorsInside[0] = new Coordinate2D(4, 4);
}
Output
[(1, 1), (2, 2), (3, 3)]
[(4, 4), (2, 2), (3, 3)]
Explanation
The mechanics are identical to those in Exercise 1.
The call to mystery3 passes the memory address of the array. Within mystery3, coors and coorsInside point to the same array.
Step by step memory diagram
Step 1
public static void main(String[] args)
{
Coordinate2D[] coors = new Coordinate2D[3];
coors[0] = new Coordinate2D(1, 1);
coors[1] = new Coordinate2D(2, 2);
coors[2] = new Coordinate2D(3, 3);
System.out.println(Arrays.toString(coors));
// prints: [(1, 1), (2, 2), (3, 3)]
// additional code not yet run
}
Memory diagram after Step 1

Output after Step 1
[(1, 1), (2, 2), (3, 3)]
Step 2
public static void main(String[] args)
{
Coordinate2D[] coors = new Coordinate2D[3];
coors[0] = new Coordinate2D(1, 1);
coors[1] = new Coordinate2D(2, 2);
coors[2] = new Coordinate2D(3, 3);
System.out.println(Arrays.toString(coors));
// prints: [(1, 1), (2, 2), (3, 3)]
mystery3(coors);
// additional code not yet run
}
public static void mystery3(Coordinate2D[] coorsInside)
{
// additional code not yet run
}
Memory diagram after Step 2

As in Exercise 1, coors and coorsInside point to (store the memory address of) the same array.
Output after Step 2
[(1, 1), (2, 2), (3, 3)]
Step 3
public static void main(String[] args)
{
Coordinate2D[] coors = new Coordinate2D[3];
coors[0] = new Coordinate2D(1, 1);
coors[1] = new Coordinate2D(2, 2);
coors[2] = new Coordinate2D(3, 3);
System.out.println(Arrays.toString(coors));
// prints: [(1, 1), (2, 2), (3, 3)]
mystery3(coors);
// additional code not yet run
}
public static void mystery3(Coordinate2D[] coorsInside)
{
coorsInside[0] = new Coordinate2D(4, 4);
}
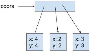
Memory diagram after Step 3

As in Exercise 1, the actual value inside the array to which both coorsInside and coors point is changed.
Output after Step 3
[(1, 1), (2, 2), (3, 3)]
Step 4
public static void main(String[] args)
{
Coordinate2D[] coors = new Coordinate2D[3];
coors[0] = new Coordinate2D(1, 1);
coors[1] = new Coordinate2D(2, 2);
coors[2] = new Coordinate2D(3, 3);
System.out.println(Arrays.toString(coors));
// prints: [(1, 1), (2, 2), (3, 3)]
mystery3(coors);
System.out.println(Arrays.toString(coors));
}
Memory diagram after Step 4

As in Exercise 1, coorsInside goes away when mystery3 returns. coors points to the original array; however, the reference at index 0 now points to a Coordinate2D object containing (4, 4).