Complete the Enhanced for loop exercises before reviewing the solutions.
Review the exercise 6 solution with AP CS Tutor Brandon Horn.
Original code
int[][] matrix = {
{10, 11, 12},
{13, 14, 15}
};
for(int[] row : matrix)
{
for(int i = 0; i < row.length; i++)
{
System.out.print(row[i] + " ");
row[i] = -99;
System.out.println(row[i]);
}
}
System.out.println(Arrays.deepToString(matrix));
Output
10 -99
11 -99
12 -99
13 -99
14 -99
15 -99
[[-99, -99, -99], [-99, -99, -99]]
Explanation
A 2D array is an array of references to 1D arrays. Each time the outer loop runs, row is set to a reference to a 1D array in matrix.
Each time the inner loop runs, i is set to an index in row. matrix and row point to the same 1D array. Changes to the values in row change the values in matrix.
Step 1
int[][] matrix = {
{10, 11, 12},
{13, 14, 15}
};
// more code not yet run
Memory diagram after Step 1

This is the same initial state as in Exercise 4 Step 1 and Exercise 5 Step 1.
Step 2
int[][] matrix = {
{10, 11, 12},
{13, 14, 15}
};
for(int[] row : matrix)
{
for(int i = 0; i < row.length; i++)
{
System.out.print(row[i] + " ");
// more code not yet run
}
}
// more code not yet run
Step 2 is inside the inner loop, immediately after the print statement has been run.
Memory diagram after Step 2

This step diverges significantly from Exercises 4 & 5. At this step, row points the same array as matrix[0].
i stores 0, and represents an index in the array to which row points.
Since each 1D array to which matrix points represents a row in the 2D array, i can also be thought of as a column index.
Output after Step 2
10
The print statement prints row[0], which stores 10.
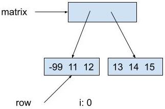
Step 3
int[][] matrix = {
{10, 11, 12},
{13, 14, 15}
};
for(int[] row : matrix)
{
for(int i = 0; i < row.length; i++)
{
System.out.print(row[i] + " ");
row[i] = -99;
System.out.println(row[i]);
}
}
// more code not yet run
Step 3 is inside the first iteration of the inner loop, immediately after the println statement has been run.
Memory diagram after Step 3

The statement row[i] = -99; changes the value at position i (0 at this step) in the array to which row points to -99. row points to the same array as matrix[0]. Changes to the values in row change the values in matrix.
This is similar to Exercise 3. All arrays in Java are objects. A variable of array type stores the memory address of the array object (the arrow). Changing a value within an array is equivalent to running a mutator method on an object.
Output after Step 3
10 -99
The print statement prints row[0], which stores 10.
Step 4
int[][] matrix = {
{10, 11, 12},
{13, 14, 15}
};
for(int[] row : matrix)
{
for(int i = 0; i < row.length; i++)
{
System.out.print(row[i] + " ");
row[i] = -99;
System.out.println(row[i]);
}
}
System.out.println(Arrays.deepToString(matrix));
Step 4 is after the entire code segment has executed.
Memory diagram after Step 4

All of the values in matrix have been changed to -99.
The scope of row is the outer loop. The scope of i is the inner loop. Neither variable exists after the outer loop finishes.
Output after Step 4
10 -99
11 -99
12 -99
13 -99
14 -99
15 -99
[[-99, -99, -99], [-99, -99, -99]]
All of the values in matrix are -99.