Complete the Primitive types vs references exercises with calls before reviewing the solutions.
Review the primitive exercise solution with AP CS Tutor Brandon Horn.
Original code
public static void main(String[] args)
{
Coordinate2D e = new Coordinate2D(1,1);
reference2(e);
System.out.println(e);
}
private static void reference2(Coordinate2D f)
{
f = new Coordinate2D(2,2);
}
Output
(1, 1)
Explanation
All arguments in Java are passed by value, including references. The call reference2(e); passes a copy of the value of e to the reference2 method. The value of e is the memory address of the object containing x: 1, y: 1.
The reference2 method changes the actual value of f, which has no effect on the value of e.
Step by step with memory diagrams
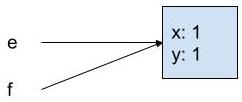
Step 1
public static void main(String[] args)
{
Coordinate2D e = new Coordinate2D(1,1);
// more code not yet run
}
Memory diagram after Step 1

Except for the variable name, this is the same as Reference exercise 1 with call Step 1.
Step 2
public static void main(String[] args)
{
Coordinate2D e = new Coordinate2D(1,1);
reference2(e);
// more code not yet run
}
private static void reference2(Coordinate2D f)
{
// more code not yet run
}
Step 2 is immediately after the call to the reference2 method, but before any code inside the reference2 method has been run.
Memory diagram after Step 2

Except for the variable names, this is the same as Reference exercise 1 with call Step 2.
Step 3
public static void main(String[] args)
{
Coordinate2D e = new Coordinate2D(1,1);
reference2(e);
// more code not yet run
}
private static void reference2(Coordinate2D f)
{
f = new Coordinate2D(2,2);
}
Step 3 is immediately after execution of the statement f = new Coordinate2D(2,2);, but before the reference2 method returns.
Memory diagram after Step 3

The statement f = new Coordinate2D(2,2); creates a new object and points f at it (sets the value of f to the memory address of the object). Changing the actual value of f does not change the value of e. All arguments in Java are passed by value.
Contrast this with the reference1 method in Reference exercise 1 with call. The reference1 method runs a mutator method on the object to which both c and d point.
Step 4
public static void main(String[] args)
{
Coordinate2D e = new Coordinate2D(1,1);
reference2(e);
System.out.println(e);
}
private static void reference2(Coordinate2D f)
{
f = new Coordinate2D(2,2);
}
Step 4 is after the reference2 method returns and after the print statement executes.
Memory diagram after Step 4

When the reference2 method ends, f no longer exists. In Java, when the last reference to an object is removed, the object is considered garbage and can no longer be accessed.
Output after Step 4
(1, 1)
The main method prints e, which runs the toString method on the object to which e refers.